4 缸體靜力分析
4.1 靜力分析結果
如圖5所示,其最大主應力發生在三缸上緣,大小為169.8Mpa。應力較大的地方有兩處,第一處在缸體上表面,第三缸周圍,主要由于此時第三剛爆發,有19Mpa壓力作用在三缸上緣部分;第二處在第三、第四軸承座連接部分周圍的缸體部分,由于三缸爆發,第三第四軸承座提供的支撐力十分大導致。
如圖6所示,此時原方案缸體最大位移為0.054mm。缸體變形區域與缸體所受應力較大區域類似。
如圖7所示,此時原方案缸套最大Mises應力為236.3Mpa。應力較大q區域為三缸套上緣及第二第四缸套靠近第三缸缸套的部分。三缸爆發時,其他缸內壓力及活塞側推力都較小,所以缸套應力主要受第三缸爆發影響。

圖5 原缸體第一主應力分布云圖

圖6 原缸體位移分布云圖
如圖8所示,此時原方案缸套最大位移量為0.02777mm。位處第三缸上緣部分。整體位移分布十分具有規律性,以三缸套上緣為起點向下和向兩側逐步減小。
如圖9所示,原方案軸承座最大Mises應力值為235.8Mpa,發生在螺栓預緊處。此處出現較大應力原因應該是施加螺栓預緊力時以集中力方式施加,出現應力集中所致。而除螺栓預緊處外,較大1、2、5、6、7號所受載荷較小的軸承座,應力從與缸體接觸面其逐步向下和中間部分減小。而3、4號軸承座,應力值在載荷施加處較大向其他區域逐步減小。
如圖10所示,此時原方案動機軸承座最大位移為0.09081mm。較大處為3、4號軸承座受載部分。
擴缸后發動機缸體靜力分析模型的受載形式與原方案一致,僅是載荷大小略有變化,因此應力分布及位移情況類似,以下結果不再描述。
如圖11所示,128mm缸徑新方案的缸體最大平均第一主應力值為165Mpa。如圖12所示,新方案缸體最大位移為0.07938mm。

如圖13所示,新方案缸套最大Mises應力值為215.9Mpa。如圖14所示,新方案缸套最大位移為0.02477mm。
如圖15所示,新方案軸承座最大Mises應力為222.4Mpa。如圖16所示,新方案軸承座最大位移為0.125mm。

4.2 靜力分析匯總與分析
上述對123mm缸徑和128mm缸徑兩種發動機缸體進行了在第三缸爆發壓力最大這一極限工況的靜力分析求解。結果匯總如表5所示:
表5 靜力分析結果匯總

對于所關心的缸體最大第一主應力值,均為160Mpa以上。此值小于HT250的抗拉強度250Mpa,但引入安全系數的概念后,此值偏大。但考慮到新方案是在原缸體基礎上改進得到的,且新方案最大主應力值變化不大,且略有減小。故說明新缸體靜力分析強度符合要求。
從表中清晰可得,在同一發動機缸內壓力變化曲線數據下,擴缸后發動機缸體、缸套最大應力值略微變小。缸體、軸承座最大位移略微變大。且最大應力均小于材料強度極限。但由于擴缸后,缸內壓力曲線數據會發生變化,所以實際中略有差異。但是整體的分布形式應該變化不大,主要的危險區域,和較大位移區域不會發生改變。所得結果有一定參考價值。
在建立分析模型時,缸蓋部分由4層2.5mm的三棱柱單元代替,其材料選用較大的彈性模量。通過多次嘗試求解對比結果發現,此彈性模量大小會導致缸體最大第一主應力值。具體規律是缸蓋部分單元彈性模量越大,缸體最大應力值越小。所以在缸體靜力分析中,缸蓋部分影響十分大。所以為得到更好結果,需要建立較為準確的缸蓋模型。
5 缸體模態分析
5.1 缸體模態分析的有限元模型
缸體模態分析的有限元模型,與靜力分析相比只選擇缸體部分,去掉缸套、缸蓋、等連接部分。
對于發動機缸體這種具有復雜幾何的模型,在Hypermesh網格劃分中,一般選用四面體單元。網格劃分思路一般為先生成高質量2D網格單元,再向內填充生成3D網格單元模型。
5.2 模態分析的方法選擇及注意事項
為了了解該缸體的振型,計算擴缸前后兩種發動機缸體的自由模態。
理論和實踐均指出,當結構體在動載荷激勵下產生共振時,一般只有前面不多的幾個低階共振情況比較危險。因此,在振動分析時,常常是只需要知道前面若干個固有頻率和振型,而不必求出全部固有頻率及振型。因此本次計算僅計算了曲軸箱的前五階模態。
模態的分析計算方法有很多種,如分塊的蘭索斯法、子空間法、降階法等、本文采用的是分塊的蘭索斯法,因為此種方法適用于大型的求解問題,并且采用稀疏矩陣求解器精度很好,對病態矩陣反應較好,適用于大自由度提取多階模態的情況。
以123mm缸徑缸體為例,其模態分析的卡片設置要點為:
(1)在創建lOAdcollector之后在在卡片選擇中選擇EIGRL。此選項為蘭索斯法。
(2)在卡片編輯中,VI選擇0.100,ND選擇5。即計算前5階模態。
(3)在材料的模型的選擇上選擇線性各項同性材料模型MAT1。
(4)要指定好材料的彈性模量(EX=1lOGPa)、泊松比(PRXY=0.3)以及密度〇)ENS=7300Kg/m3)。此時要注意輸入數據的單位,確保在換算后,時間單位為s。
5.3 模態分析結果
在最終計算結束后,根據發動機振型的對應情況,為了能使得兩種缸體的振型相對應,避免發生同是前五階振型無法相對應的情況,128mm缸徑缸體求解了前六階模態。求解后發現原方案缸體的第五階振型和新方案缸體的第六階振型相對應,故本文給出兩種缸體對應的頻率與振型。
擴缸前后發動機缸體的各階振型形式如表6所示。
表6 新舊缸體振型對比表

前四階模態,擴缸前后缸體振型對應較好,但在第五階時,發生較大差異。與原發動機缸體第五階振型想對應的是新發動機缸體第六階振型。
擴缸前后發動機缸體的各階振型形式如表7所示。
表7 新舊缸體振型對比表

擴缸前后缸體自由模態頻率結果如表8所示。
表8 自由模態頻率對比表

表9 新方案缸體相對于原方案缸體固有頻率的減小比率

從上表可以看出,擴缸后發動機缸體固有頻率都略有下降,但下降幅度不大。
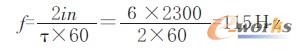
而燃燒激振頻率公式如下:

其中:F1為燃燒激振頻率;i為缸數;n為發動機轉速;T為沖程(2沖程/=2,4沖程/=4);
當最高轉速(2300r/min)時,缸內爆發氣體壓力作用的激振頻率為:

此頻率低于缸體的一階固有頻率232Hz,說明新缸體能夠避免由缸內氣體爆發壓力作用引起的沖擊載荷而形成的共振。
6 結論
本文以汽車發動機擴缸后方案與原方案的對比為背景,對此款發動機,兩種結構進行模態分析,并對該發動機擴缸前后缸體搭建靜力分析模型,對兩種方案的結構在極限工況下進行了靜力分析對比,研究擴缸之后的缸體的變化情況。
從有限元模態的理論出發,結合發動機缸體的實際情況,分析原方案與新方案兩種發動機缸體的振動特性。將各階的固有頻率到振型的對比,利用激振頻率計算說明,說明了發動機的可靠性。
發動機是一個復雜的部件集合體,缸體作為發動機連接各部件的載體,其受力形式、連接關系都十分復雜。為得到更準確的結果,后續還需進行的工作:
(1)完善缸蓋,飛輪殼、正時齒輪室、油底殼及底部加強板等部件模型,以便更準確的施加載荷與約束。
(2)建立曲軸、活塞等模型,進行缸體動力響應仿真,以便得到更接近真實情況的強度結果,為缸體改進方案提供合理意見。
核心關注:拓步ERP系統平臺是覆蓋了眾多的業務領域、行業應用,蘊涵了豐富的ERP管理思想,集成了ERP軟件業務管理理念,功能涉及供應鏈、成本、制造、CRM、HR等眾多業務領域的管理,全面涵蓋了企業關注ERP管理系統的核心領域,是眾多中小企業信息化建設首選的ERP管理軟件信賴品牌。
轉載請注明出處:拓步ERP資訊網http://www.lukmueng.com/
本文網址:http://www.lukmueng.com/html/solutions/14019320620.html
























