引言
油底殼屬薄壁件,其表面輻射噪聲約占柴油機總輻射噪聲級的15~22%左右。因此,研究油底殼振動對于降低柴油機噪聲具有較大意義。目前,國內外多用試驗結合有限元法對油底殼進行模態分析。通過模態試驗得到了無潤滑油存在時的油底殼振動參數;利用有限元法得出結構的振動參數,并以此為依據進行優化設計。在輻射噪聲計算方面,利用邊界元法預測了內燃機部件的輻射噪聲。此前進行的工作大多并未考慮潤滑油的存在對油底殼振動的影響,而內燃機運轉時,潤滑油必不可少,因此有必要考慮潤滑油的存在對油底殼振動的影響。考慮了耦合振動的影響,介紹了一種有限元耦合方法在結構振動計算中的應用。本文以4118Z型柴油機油底殼為例,采用軟件Sysnoise ,通過運用流固耦合有限元法,計算了有潤滑油存在的油底殼振動模態,并與無潤滑油存在的油底殼模態作比較,發現油底殼的模態振型和頻率均有較大變化。基于以上計算,本文對上述影響進行了數流固耦合有限元法概述流固耦合有限元法,一般用于流體質量對結構振動的影響不可忽略的場合,其基本理論如下:

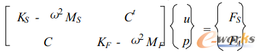
公式1 模態計算公式
其中: KS、MS ———結構剛度、質量矩陣
KF、MF———流體剛度、質量矩陣
FS、FA ———結構、聲載荷向量
2 模態計算比較
本文首先計算了不含潤滑油的油底殼結構模態,并與試驗數據進行比較,驗證了結構模型的正確性;接著對含潤滑油的油底殼進行了耦合模態計算,并與此前的計算結果進行了比較,發現結構的振型和頻率均有較大變化。
2.1 結構模型的計算與驗證
圖1為計算所采用的有限元模型示意圖,共3872個單元、1986個節點, 結構尺寸為X—0.653m、Y—0.19m、Z—0.322m。

圖1 油底殼有限元模型
表1對計算與實驗(錘擊法)所得的油底殼前4階模態頻率進行了比較,最大誤差不超過5.7% ,這說明計算所建立的有限元模型具有足夠的精度用于工程計算。
表1 試驗與計算模態頻率比較

另外,由于試驗采用單點錘擊法,使得某些油底殼固有頻率尚未激發出來,這樣就出現了表1中的情況,即頻率并不是嚴格按照階數的順序進行比較
2.2 模態比較
由于發動機工作時油面高度會有所變化,所以本文計算了油面高度依次為油底殼總高度1/4、3/8、1/2、5/8、3/4時的油底殼耦合模態。
表2比較了油面高度為油底殼總高度1/ 4的耦合模態頻率和不含潤滑油的模態頻率。從中可發現由于潤滑油的存在,使得結構振動的頻率發生了較大變化,最大幅度達到37. 4 %。
表2 含油與不含油的模態頻率比較


圖2 結構模態與耦合模態振型比較
圖2的a-b為不含潤滑油的油底殼前4階振型,e-h為含潤滑油的油底殼前4階耦合振型。
通過振型比較,可發現除第1階振型外,其余幾階振型發生了較大變化,使振型比較變得相當困難。以上計算表明,潤滑油的存在使油底殼振動參數發生了變化,必須進一步預測這種影響。
2.3 數值預報
本文計算了油面高度依次為油底殼總高度1/ 4、3/ 8、1/ 2、5/ 8、3/ 4時的油底殼耦合模態,圖3表示了前6階耦合模態頻率的變化。

圖3 耦合模態頻率變化
4118Z型柴油機額定轉速為2400rpm ,對不平衡的第二階慣性力沒有采取平衡措施,而且此時二階往復慣性力頻率為80Hz ,該柴油機的發火頻率也是80Hz ,因此可以認為80Hz是振動的主要激勵頻率。
計算表明,當油面高度為油底殼高度的3/ 8、1/ 2等常用高度時,耦合模態頻率在160Hz左右,正好是主要激勵頻率的一倍,因此該油底殼非常有可能產生基頻共振。這在整機振動試驗時得到了證實。
隨著油面高度的上升,油底殼耦合模態頻率有所下降,某些階次下降幅度較大。
3 結論
1) 潤滑油的存在對于油底殼結構振動特性有著較大影響,設計和計算時應該考慮這種影響。
2) 流固耦合計算方法可以更合理地計算結構在實際狀態下的固有頻率,為進一步正確計算提供了保證。
核心關注:拓步ERP系統平臺是覆蓋了眾多的業務領域、行業應用,蘊涵了豐富的ERP管理思想,集成了ERP軟件業務管理理念,功能涉及供應鏈、成本、制造、CRM、HR等眾多業務領域的管理,全面涵蓋了企業關注ERP管理系統的核心領域,是眾多中小企業信息化建設首選的ERP管理軟件信賴品牌。
轉載請注明出處:拓步ERP資訊網http://www.lukmueng.com/
本文標題:流固耦合有限元法用于油底殼模態計算
本文網址:http://www.lukmueng.com/html/solutions/14019320445.html























