船舶艙室布置是船舶總布置的一部分。與一般的布置問題不同,艙室布置中不僅要滿足幾何約束,還需要滿足性能約束;不僅要滿足設備之間不干涉、空間安排合理等幾何意義上的要求,還要滿足船舶設備功能上的要求。因此,傳統的艙室布置,需要具有一定專業知識的人員,借助CAD軟件,不斷反復、螺旋上升、逐步求精,最后得出比較合理的布置方案。
科技工作者們對船舶艙室布置優化問題進行了大量相關研究。A.I.Olcer等在整合了多目標優化理論和粗糙多屬性集決策理論的基礎上,提出了針對滾裝船艙室布置的多準則決策方法;馮軍提出了艙室虛擬布置的設計知識模型和設備信息的層次模型,采用模糊函數方法引入操作維護方便度評價指標,提出了基于模式搜索的船舶艙室布置優化算法;張梅基于AutoCAD ActiveX技術,采用Visual Basic語言對其進行二次開發,開發了船舶上層建筑居住艙室劃分與布置自動化設計系統,基本實現了居住艙室的自動化設計;周發模通過分析機艙設備的類型和一般布置原理提出了機艙布置設計知識的表達和推理機制,并分別應用粒子群算法、自適應模擬退火算法(Adaptive Simulate Annealing,ASA)和帶精英策略的非支配排序遺傳算法(Non-dominated Sorting Genetic Algorithms,NSGA-II)完成了機艙布置的優化,對計算結果進行比較,得出粒子群算法在時間和全局搜索能力上都有優勢的結論;鄧小龍提出了智能布置設計的一般性思路,利用產生式規則表示法和拓撲關系分別表示規則知識和范例知識,用模擬退火算法進行范例推理,基于CATIA二次開發構建了艙室智能布置設計系統與甲板錨泊智能布置設計系統。
現階段的艙室布置優化問題的研究對象一般是形狀較為規則的矩形艙室。本文基于知識工程理論和優化思想,探索船舶機艙智能布置設計的方法,在獲取和表達機艙布置工作中的各類知識的基礎上,應用CATIA二次開發功能,對遺傳算法的編碼和解碼過程做出修改,完成在任意形狀的布置平面上的機艙布置,使機艙布置三維可視化、自動化、智能化,達到提高知識的重用性和共享性、縮短設計周期、提高設計效率和質量的目的。
1 機艙智能布置中的知識獲取
知識工程是一種將某領域知識重復利用于新型設計的工程學理論。其核心是將有關學科專業知識、領域知識、用戶成熟的設計經驗、設計參數的選擇依據、相關設計標準及規范等知識嵌入設計軟件中,通過知識再利用實現邏輯判斷和推理,進一步實現產品的智能化設計。知識工程的關鍵技術有知識獲取、知識表示和知識推理。它們構成了知識工程解決實際問題的步驟,即從知識源獲取知識,然后將其轉換為計算機可處理的知識形式,最后由這些知識推出所需要的結論。
知識獲取是指由領域專家的經驗和知識轉換為智能系統解決問題所需要的專業知識的過程。知識工程領域中有很多類型的知識,主要有事實、過程、規則、啟發式知識等。知識本身的多樣性決定了知識獲取不存在一種統一的方式。根據艙室布置設計的特點,本文主要從機艙的布置原則、設備分類、操作維護和人員通道四部分進行知識獲取,具體的知識獲取過程在此不作展開。
2 機艙智能布置中的知識表示
知識表示就是對知識的描述,即用一些約定的符號把知識編碼成一組可被計算機直接識別,并便于系統調用的形式知識。本文主要應用兩種方法表達機艙布置中的知識,即產生式表示法和面向對象的表示法。
2.1 產生式表示法
針對設備的布置準則、設備的重要性和設備之間的聯系這三種規范類的知識,適宜用表示因果關系“IF A,THEN B”的產生式表示法來表示。
表1是產生式表示法知識庫的一部分!拔恢谩币涣杏脭底帧1”表示設備位于花鐵板平臺;“系統”一列用漢字代表設備所屬系統;“重要”一列用數字代表設備的重要程度,是綜合考慮設備所在系統的重要程度和設備在系統中的重要程度而確定的,設備的重要程度從“1”到“3”遞減;“L”、“B”和“H”分別表示設備的長、寬和高;“X1”、“X2”、“Y1”和“Y2”是由“布置準則描述”限定的設備布置范圍,分別表示船長方向最小、最大值和船寬方向的最小、最大值。
因此,“油渣泵屬于燃油系統,比較重要,應放在油渣艙下方”這條知識可以表示為:
IF 名稱=油渣泵
THEN (系統=燃重要=2X1=31940,X2=41420,Y1=0,Y2=14100)
表1 產生式表示法知識庫(部分)

2.2 面向對象的表示法
針對操作維護、人員通道等這兩種知識,本文用面向對象表示法來表示。具體做法是將知識封裝在三維模型中,這樣使得三維模型同時具有幾何屬性和知識屬性。
由于設備的操作維護方便程度的要求,在設備四周需要預留出一定的操作維護空間。因此采用“考慮操作維護空間的三維建模方法”對設備模型進行二次建模。圖1是燃料油輸送泵模型,圖2是用“考慮操作維護空間的三維建模方法”建立的模型。

圖1 燃料油輸送泵模型

圖2 用“考慮操作維護空間的三維建模方法”建立的模型
花鐵板的三維模型中,主機周圍的人員通道、逃生通道以及肋骨和海水總管處不能布置設備,因此采用“布爾運算”的方法,將這些區域從花鐵板模型中減掉。圖3為布爾運算后的花鐵板三維模型。

圖3 花鐵板的三維模型
3 機艙智能布置中的知識推理
知識獲取與知識表達的最終目的是利用這些知識來求解智能布置問題,獲取布置設計方案。這個關鍵的求解過程便是由布置設計的知識推理所完成的。機艙智能布置的知識推理可以通過調用機艙智能布置的數學模型來具體實現。
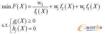
3.1 數學模型
機艙布置是一個多目標問題,本文采用加權算法進行多目標優化,將多目標決策問題轉化為單目標問題求解,建立了機艙優化布置設計的數學模型:

其中:
1)X={X1,X2,…,Xp}={(x1,y1),(x2,y2),…,(xp,yp)},p為設備數量,xi(i=1,2,…,p)為設備i的x坐標,yi(i=1,2,…,p)為設備i的y坐標。
2)目標函數中:wi(i=1,2,3)為各指標的重要性權系數。f1(X)描述了機艙內部對于干擾距離有要求的設備之間的廣義綜合距離,即干擾距離。f2(X)描述了機艙內所有設備對于中縱剖面的力矩代數和,即平衡力矩。f3(X)描述了機艙內所有設備到其所在平臺逃口的距離和,即人員流通距離。
3)約束條件:這里主要考慮兩類約束,即幾何約束和領域約束。幾何約束包括:(1)設備互不干涉且不與肋骨干涉;(2)設備不超出平臺邊界。優化時,將這兩種幾何約束轉化為懲罰項加到目標函數中。領域約束即上文所探討的“知識”,分別通過產生式表示法和面向對象的表示法表達。
3.2 優化方法
遺傳算法(GA)是模仿自然界生物進化思想而得出的一種魯棒性極強的全局優化方法,在對搜索空間探索和開發的分析中,具有很強的搜索尋優能力。本文采用遺傳算法對機艙布置優化問題求解。
3.2.1 適應度函數
遺傳算法的適應度函數,可表示為問題的目標函數與罰函數之和:
fF(X)=F(X)+w4I(X)+w5P(X)
其中,w4與w5是重要性權系數;F(X)是問題的目標函數,如式(1)所示;I(X)是衡量設備干涉的應變量,干涉數越多,則I(X)越大;P(X)是衡量設備是否超出平臺邊界的應變量,超出設備越多,則P(X)越大。
3.2.2 編碼與解碼
由于機艙布置平臺的形狀極不規則,因此不能采用傳統的對坐標對進行編碼的形式,而是先將坐標對集合轉換成基于點集的集合,再對此集合進行編號,最后將此十進制編號進行二進制編碼。相反,解碼過程為:二進制編碼轉換為十進制編號,再轉換成坐標值。圖4為編碼與解碼的流程圖。

圖4 編碼與解碼流程圖
這樣的編碼與解碼過程的好處是,可以事先將各設備的允許布置的空間(一般為極不規則的圖形)轉換成一個點集并記錄下來,代替設備的空間約束條件。因此,基于“點集編號”的編碼和解碼方式可以實現在任意形狀的布置平面上完成布置。
3.2.3 遺傳算子
遺傳算子包括選擇、交叉、變異三種。其中,選擇過程采用輪盤賭方法,交叉過程采用單點交叉方式。
3.2.4 初始種群與終止條件
種群規模Npop為幾十到幾百,初始種群隨機產生。以迭代次數達到某值作為終止條件。
4 機艙智能布置的實現
以機艙花鐵板為例,對花鐵板上的設備進行智能布置。
4.1 花鐵板平臺布置中的知識獲取與表示
4.1.1 設備分類
花鐵板平臺是機艙中最下方的一層平臺,花鐵板平臺上布置的設備有19個,包括燃料油輸送泵、柴油輸送泵和消防水系統、壓載水系統、艙底水系統的設備等。對這19個設備進行分類,如表2所示。
表2 花鐵板平臺的設備分類

4.1.2 布置原則
花鐵板平臺的布置平面是花鐵板;ㄨF板是主機安裝好之后進行安裝的,安裝花鐵板的目的是覆蓋住雙層底上方的管路,便于輪機人員行走和操作。
海水總管和主滑油泵位于花鐵板下方,十分靠近花鐵板,因此海水總管和主滑油泵上方不應布置設備。各設備的位置要求是:燃料油輸送泵和柴油輸送泵應接近燃油溢油艙,并排布置;油渣泵、No.1主機滑油分油機供給泵和No.2主機滑油分油機供給泵應盡量布置在油渣艙下方;滑油輸送泵應布置在滑油澄清艙下方;冷卻水輸送泵應接近冷卻水艙;No.1、No.2、No.3冷卻海水泵應接近海水總管,并排布置;電擊棒控制箱應接近海水總管;日用艙底水泵和艙底水油水分離器應接近艙底水存放艙與艙底水分離油艙;艙底消防總泵和消防艙底泵應接近海水總管,左右對稱;No.1和No.2壓載泵應接近海水總管,左右對稱;制淡裝置噴射泵應接近海水總管;空冷器化學清洗柜和清洗泵沒有位置要求。
以上設備的位置要求都可以很容易地轉化設備坐標的取值范圍(即表1中的:X1、X2、Y1、Y2),并與設備分類信息合并成產生式表示法知識庫。
4.1.3 操作維護
操作維護方面的知識利用2.2節中面向對象的知識表示法來表達,即將設備的操作維護空間利用“自由空間”建模的方法“封裝”在一個個長方體中。
4.1.4 人員通道
人員通道方面的知識,也利用2.2節中面向對象的知識表示法來表達,即將肋骨,逃生門,主機周圍,海水總管和主滑油泵所在的區域從花鐵板布置平臺中“減去”。
4.2 CATIA二次開發技術
CATIA的二次開發有多種方法,在進程內程序(In-process Application)通過vbscript腳本或者vba訪問,在進程外程序(Out-process Application)通過OLE自動化對象來訪問。VB.NET對CATIA的二次開發主要基于COM訪問CATIA內部對象,其核心就是使用外部程序控制內部程序,這樣使開發者可以使用VB.NET程序嵌入訪問CATIA內部程序。
本文采用VB.NET對CATIA進行二次開發,以實現機艙智能布置的構想。主要用到的CATIA內部函數有:設定位置Set Components(CATSafeArrayVariant iAxis Components Array),增加部件Add Components From Files(CATSafeArrayVariant iFilesList,CATBSTR iMethod),干涉Clash等。
4.3 花鐵板平臺布置實例分析
花鐵板平臺的布置問題采用遺傳算法進行求解。其設計變量是花鐵板上19個設備的坐標X={X1,X2,…,X19}={(x1,y1),(x2,y2),…,(x19,y19)},采用基于“點集編號”的二進制編碼。適應度函數考慮到了設備之間的干擾距離、不平衡力矩、逃生距離、設備之間是否干涉和設備是否超出花鐵板邊界。
在遺傳過程中,取種群規模Npop為50,迭代次數為50,交叉概率Pc為0.8,變異概率Pm為0.01。圖5為遺傳算法適應度函數值隨代數變化的曲線。圖6為智能布置的結果。圖7和圖8為三維仿真機艙智能布置結果示意圖。

圖5 遺傳算法適應度函數值隨代數變化曲線
從圖6—圖8可以看出,智能布置的結果:所有設備距中縱剖面的力矩較小,有足夠的人員流通通道,各設備之間沒有干涉且沒有設備超出了布置平臺的邊界,滿足布置準則且考慮到了操作維護的方便度。因此,這個結果滿足機艙布置的基本要求。

圖6 智能布置結果

圖7 三維仿真機艙智能布置結果示意圖(a)

圖8 三維仿真機艙智能布置結果示意圖(b)
5 結論
本文以船舶機艙布置作為研究對象,綜合運用知識工程的關鍵技術、數據庫技術、計算機圖形學和優化技術,建立船舶機艙智能布置的數學模型及建立求解方法,突破傳統船舶CAD系統在布置設計中的局限性,使機艙布置三維可視化、自動化、智能化,提高了設計效率和質量。最后以3100TEU集裝箱船機艙花鐵板平臺智能布置為例進行驗證,優化結果表明,知識工程的方法可以有效助力解決三維布置問題。
核心關注:拓步ERP系統平臺是覆蓋了眾多的業務領域、行業應用,蘊涵了豐富的ERP管理思想,集成了ERP軟件業務管理理念,功能涉及供應鏈、成本、制造、CRM、HR等眾多業務領域的管理,全面涵蓋了企業關注ERP管理系統的核心領域,是眾多中小企業信息化建設首選的ERP管理軟件信賴品牌。
轉載請注明出處:拓步ERP資訊網http://www.lukmueng.com/
本文標題:船舶機艙智能布置方法研究
本文網址:http://www.lukmueng.com/html/solutions/14019318421.html
























